Você sabe o que é antotipia? É um processo similar à fotografia, em que uma reação química acontece na presença de luz. Na antotipia, para obtermos uma imagem inicialmente temos de realizar a extração de pigmentos vegetais fotossensíveis, em geral de flores, folhas e raízes.
Se você está procurando uma atividade que combine conhecimentos artísticos e químicos para a produção de belas figuras, esta é uma ótima opção. Mas qual seria, então, os entendimentos químicos por trás dessa técnica antiga? Você saberia dizer o que seria um material fotossensível? Nesse artigo, vamos ensinar como essa propriedade fotoquímica funciona.
Prepare o experimento
Você vai precisar de:
- Solução alcoólica de açafrão-da-terra/cúrcuma 13% m/v;
- Folhas de papel sulfite A4;
- Pincel;
- Placa de acrílico ou vidro (você pode usar um porta retrato);
- Objetos opacos, como folhas, chaves, botões. Ou uma máscara feita imprimindo uma imagem em uma transparência de acetato;
- Tesoura;
- Solução de bicarbonato de sódio.
Preparação do extrato alcoólico de açafrão da terra
- Pese cerca de 10 gramas de açafrão da terra (cúrcuma) ;
- Coloque o açafrão em 75 ml de álcool etílico em um frasco com tampa;
- Aguarde pelo menos 24h para que a curcumina seja extraída do açafrão.
- Ao final deste período voc~e pode decantar a solução alcoólica e descartar o material sólido.
Corte as folhas de sulfite no tamanho que será utilizado para as imagens. Se estiver usando porta-retratos, use o tamanho da moldura como referência para as folhas.
Use o experimento na sua aula
Apresente a ideia do experimento aos alunos, dizendo que eles irão produzir imagens usando o extrato de uma planta colorida.
Os alunos irão pintar a folha A4 com a solução de cúrcuma previamente preparada, cobrindo toda a folha.
Em seguida, os alunos irão selecionar um objeto ou transparência que será usada no experimento. Os objetos opacos são colocados em cima da folha pintada com o extrato de açafrão. Este conjunto é coberto com a placa de vidro
Espere, então, de 30 a 60 minutos sob a luz direta do Sol.
Depois disso, ao retirar o objeto opaco de cima da folha, será possível notar o contraste entre as cores. Em seguida, uma etapa interessante de ser realizada é a adição de bicarbonato de sódio, com a ajuda de um pincel, que terá o papel de alterar a cor inicial do da imagem.
Quando retiramos as plantas, vemos que a área coberta continua amarela. Podemos colocar o papel em uma solução diluída de bicarbonato de sódio e a cor irá mudar, ficando avermelhada.
O que acontece
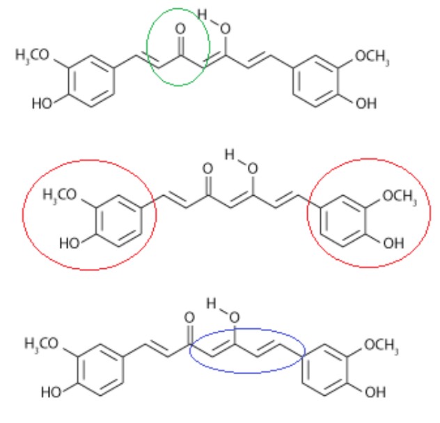
Substâncias fotossensíveis são aquelas que sofrem alterações químicas ou físicas a partir da radiação ultravioleta (UV), presente no Sol. Mas como esse tipo de radiação consegue produzir essa mudança? Para responder a isso, é necessário analisarmos a composição da curcumina. Tal composto é constituído de três grupos funcionais: uma cetona, circulado em verde, dois grupos fenólicos, em vermelho, e duas ligações duplas conjugadas, em azul.
Esse último grupo é responsável pela coloração do pigmento. Quando exposto à luz UV do sol, as ligações duplas deste grupo são quebradas, deixando o composto incolor, o que causa a perda de cor observada no experimento. O objeto opaco, por outro lado, reflete a luz UV, então as partes do papel encobertas por ele não sofrem degradação e, portanto, formam a figura obtida no final.
Além disso, a curcumina é um indicador ácido-base, ou seja, em meio ácido essa substância apresenta uma cor amarela, mas já em meio básico, esse é vermelho. Então, nesse caso, ao adicionar a solução de bicarbonato de sódio (que possui pH=9), que é básico, a figura torna-se avermelhada.
Finalmentes
Este é um experimento interessante que permite criar imagens a partir de um processo químico, mostrando a relação entre a Química e processos artísticos. É uma atividade em que os alunos podem demonstrar sua criatividade e produzir algo personalizado.
Este artigo foi produzido em conjunto com as estagiárias de 2025 do XCiência, Bianca Abatemarco Stein e Maria Paula Coura Ferreira.
Gostou do experimento? Compartilhe e mostre para seus colegas.

1 comentário
Bom dia!
Muito criativo.
Trás conhecimento e leveza as aulas.
Pretendo usa-la. nas minhas aulas.